Les copropriétaires du Quartier de l'Horloge sont relégués au statut de simples spectateurs. La gestion se fait sans eux. Ici, lors de la réactivation de l'Horloge en 2023, dont le financement pour la maintenance est encore inconnu.
Lorsque vous souhaitez acheter un bien, vous vous poser de nombreuses questions. Les charges ne sont-elles pas trop élevées? La copropriété est-elle solvable ? La rue n'est-elle pas trop bruyante? Est-ce qu'il y a des procédures?
« Au stade de l’annonce, le vendeur (ou l’agence) ne sont dans l’obligation de préciser que l’existence de procédures en cours relevant des articles 29-1 A et 29-1 de la loi n° 65-557 du 10 juillet 1965 et de l’article L. 615-6 du code de la construction et de l’habitation . Ainsi, la mention « Pas de procédure en cours » ou « Aucune procédure en cours » dans les annonces immobilières permet donc seulement de préciser qu’il n’y a pas de procédures « graves » en cours.
Tiré de : "Aucune procédure en cours" : une mention plutôt trompeuse ! (discutons-immo.fr)
***
Cet article a pour objectif d’expliquer aux membres de l’association syndicale libre du Quartier de l'Horloge (ASL QH) ce qui se passe actuellement au sujet de la gestion de leurs biens immobiliers.
Sont-ils correctement représentés ? Leurs intérêts sont-ils vraiment défendus ? La gestion de l’ASL QH est-elle conforme à sa raison d’être ? Que font les gestionnaires professionnels CBRE, INDIGO et PRIMONIAL?
Sont-ils correctement représentés ? Leurs intérêts sont-ils vraiment défendus ? La gestion de l’ASL QH est-elle conforme à sa raison d’être ? Que font les gestionnaires professionnels CBRE, INDIGO et PRIMONIAL?
Début 2023, une petite dizaine de procédures concernant la gestion de l’association syndicale libre du quartier de l’Horloge (ASL QH) est en cours au Tribunal de Paris.
Les procès-verbaux des assemblées générales de l’association syndicale libre du Quartier de l’Horloge (ASL QH) font régulièrement état d’un point d’information sur l’avancement de procédures, sans qu'aucun compte-rendu ne soit joint à la convocation.
Combien sont-elles ? Quels sont les enjeux ? Qui réclame quoi à qui ?
Dans les faits, depuis 2018, 62% des immeubles, soit 10 sur 16, contestent la gestion de LOISELET DAIGREMONT et la tenue des comptes. Pourtant, d'année en année, aucune explication sérieuse ne leurs est apportée.
Cette situation perdure car les trois propriétaires représentés par des professionnels, AEW CILOGER (CBRE), INDIGO PARK et PRIMONIAL (SEFAL PROPERTY) se contentent d'utiliser leur position majoritaire pour valider la gestion actuelle en assemblée générale au lieu d'intervenir en amont, afin de résoudre les problèmes lors des conseils de gestion.
Ensuite, les décisions d'assemblées générales ne sont pas suivies d'effets et le statu quo continue à régner.
Depuis janvier 2023, Aurélien Rousseau a repris la direction de l'ASL pour le compte de LOISELET DAIGREMONT et offre ainsi une opportunité de profondes réformes.
Une optimisation à la baisse de 20% des charges pourrait accompagner cette nouvelle gestion et ravir tant les propriétaires que leurs futurs acquéreurs.
EN SAVOIR PLUS
1. Combien de procédures ?
2. Quels sont les enjeux?
3. Quels sont les arguments de l'ASL?
EN SAVOIR PLUS
1. Combien de procédures ?
2. Quels sont les enjeux?
3. Quels sont les arguments de l'ASL?
Les trois copropriétés de commerces et parkings SOCOPAR 2, 3A et 3B tiennent une assemblée commune et simultanée avec la gestion commune SOCOPAR. Une situation inédite: chaque vote fait l'objet de 4 procès-verbaux d'assemblées générales.
1. COMBIEN DE PROCEDURES ?
31% des immeubles au sein de l'ASL, soit 5 sur un total de 16, ont assignés l'ASL QH depuis 2011. Ils représentent les propriétaires de 278 appartements, dont 158 appartiennent au bailleur social ACTION LOGEMENT (ERIGERE).
Il s'agit des immeubles suivants :
31% des immeubles au sein de l'ASL, soit 5 sur un total de 16, ont assignés l'ASL QH depuis 2011. Ils représentent les propriétaires de 278 appartements, dont 158 appartiennent au bailleur social ACTION LOGEMENT (ERIGERE).
Il s'agit des immeubles suivants :
- 3-5 rue Bernard de Clairvaux, 69 appartements.
- 9 rue Brantôme, 28 appartements.
- 160 rue Saint-Martin, 23 appartements.
- 2 passage du Maure et 6 rue Brantôme, 38 et 55 appartements.
- 16 rue Brantôme, 65 appartements.
Une dizaine de copropriétaires se sont joints à titre individuel, dont certains copropriétaires du 50 rue Rambuteau et de la copropriété de commerces et parkings SOCOPAR 2.
D'autres procédures existent, sans que les membres de l'ASL en aient été clairement informés.
L'immeuble du 3-5 Bernard de Clairvaux aurait été assigné par l'ASL pour défaut de paiement de charges d'environ 150 000 €. Une procédure " grave " qui tombe vraisemblablement sous le coup de l'obligation d'informer les acheteurs lors de transactions immobilières.
Le bailleur de LEROY MERLIN, AEW CILOGER, aurait assigné l'ASL dans le cadre des travaux concernant l'amiante. Un budget de plus de 13 millions d'euros.
D'autres procédures existent, sans que les membres de l'ASL en aient été clairement informés.
L'immeuble du 3-5 Bernard de Clairvaux aurait été assigné par l'ASL pour défaut de paiement de charges d'environ 150 000 €. Une procédure " grave " qui tombe vraisemblablement sous le coup de l'obligation d'informer les acheteurs lors de transactions immobilières.
Le bailleur de LEROY MERLIN, AEW CILOGER, aurait assigné l'ASL dans le cadre des travaux concernant l'amiante. Un budget de plus de 13 millions d'euros.
2. QUELS SONT LES ENJEUX ?
L'ensemble des plaigants réclame plus de 750 000 euros de remboursement de charges indues. Comment l'ASL pourra-t-elle payer en cas de victoire de ces plaignants ?
Les syndicats de copropriétaires réclament aussi l'annulation de l'ensemble des assemblées générales depuis 2009. Quelles mesures l'ASL peut-elle prendre pour se préparer ? Qu'elles seraient les conséquences?
Prenons 3 exemples parmis les demandes des plaignants.
- Détection incendie - 200 000 € dérivés des commerces et bureaux vers les habitations
La sécurité incendie des commerces et bureaux coûte plus de 750 000 €. Au lieu d'être payée uniquement par les propriétaires concernés, soit les commerces et les bureaux, près de 200 000 € sont habilement redirigés vers les propriétaires d'habitation!
Dans les faits tout est faux: le nombre des équipements qui sert à répartir les charges, la classification des alarmes de "détection incendie" ou de "fonctionnement" et l'affectation des factures dans les bonnes catégories.
Téléchargez la copie du règlement de copropriété dont est tiré l'image ci-dessous.
170 téléchargements le 8 décembre 2023
Dans les faits tout est faux: le nombre des équipements qui sert à répartir les charges, la classification des alarmes de "détection incendie" ou de "fonctionnement" et l'affectation des factures dans les bonnes catégories.
Téléchargez la copie du règlement de copropriété dont est tiré l'image ci-dessous.
170 téléchargements le 8 décembre 2023
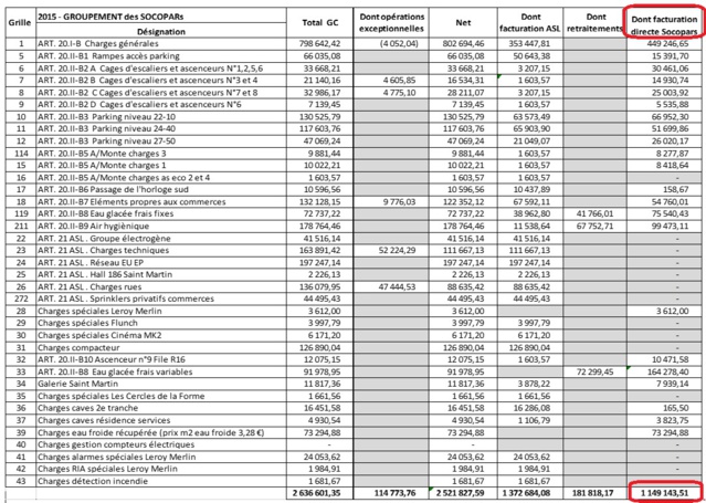
La "facturation directe" concerne l'ensemble des services assurés par l'ASL mais qui sont facturés sans frais de fonctionnnement (honoraires de gestion). Ici, ce tableau "SOCOPAR" de 2015 recense plus de 1 149 000 € qui ne sont pas présents dans le budget de l'ASL. > un clic sur l'image l'agrandit.
- Budget des dépenses - 1,5 millions d'euros soustrait du total des dépenses
LOISELET DAIGREMONT pratique la "facturation directe privative". Il appelle certaines charges, directement aux bureaux du CENTRE POMPIDOU et aux copropriétaires SOCOPAR dans les appels de charges des copropriétés en dehors de la comptabilité de l'ASL. C'est-à-dire sans qu'elles ne supportent de frais de gestion et de fonctionnement.
Un usage qui conduit à laisser s'évaporer pas moins de 1,5 million d'euros de charges du budget des dépenses de l'ASL.
Les conséquences sont importantes. Par exemple, les charges d'électricité de LEROY MERLIN, INDIGO ou le CENTRE POMPIDOU sont refacturées au prix coûtant alors que l'électricité refacturée aux immeubles d'habitations pour les services communs est majorée des frais de fonctionnement de l'ASL, soit 14,9 centimes par euro de charges. Le dommage est évalué à près de 20 000 € seulement pour l'électricité.
Un usage qui conduit à laisser s'évaporer pas moins de 1,5 million d'euros de charges du budget des dépenses de l'ASL.
Les conséquences sont importantes. Par exemple, les charges d'électricité de LEROY MERLIN, INDIGO ou le CENTRE POMPIDOU sont refacturées au prix coûtant alors que l'électricité refacturée aux immeubles d'habitations pour les services communs est majorée des frais de fonctionnement de l'ASL, soit 14,9 centimes par euro de charges. Le dommage est évalué à près de 20 000 € seulement pour l'électricité.
- Les eaux de ruissellement (eaux d'exhaure)
La Ville de Paris a introduit en 2008 une nouvelle taxe pour le Parking Horloge Beaubourg qui a d'abord été logiquement facturée aux seuls copropriétaires de parkings pendant 2 ans. Ensuite, l'ASL a réparti cet impôt, sans annonce particulière ni accord de son assemblée générale, à l'ensemble des membres de l'ASL, y compris aux habitants et aux bureaux.
Le montant de la taxe a varié entre 2009 et 2020 de 22 000 € à 149 000 € de façon totalement inexplicable.
20 % de cette somme n'est pas réparti aux copropriétés de commerces et gonflent encore plus la part des habitants et des bureaux.
Plus étonnant encore, le Trésor Public n'a pas été en mesure de confirmer avoir encaissé de l'ASL la totalité des 1 115 852,89 € payés, jusqu'en 2020, par les copropriétaires.
3. QUELS SONT LES ARGUMENTS EN DEFENSE DE L'ASL?
Le Conseil de gestion de l'ASL n'est pas informé de l'avancement des procédures et ne connait pas les arguments en défense qui sont avancés. Son gestionnaire LOISELET DAIGREMONT semble avancer seul avec le cabinet d'avocat SELARL G2 & H, sans validation par l'assemblée générale de la stratégie, ni des arguments.
Dans les faits, la défense de l'ASL est similaire à la défense de son gestionnaire LOISELET DAIGREMONT. Nous avons pris connaissance des pièces et les commentons ci-dessous.
- L'ASL ne reconnait pas le droit à un syndicat de copropriétaire de l'assigner:
L'esprit des textes de l'ASL prévoit le contraire, ce sont bien les syndicats de copropriété qui doivent prioritairement représenter les copropriétaires :
Article 41: Caractère des règles posées par le présent cahier (CRUH)
«Tout propriétaire d’un volume peut également en demander directement l’application à l’encontre du propriétaire défaillant, étant précisé que lorsqu’un volume est placé sous le régime de la copropriété définie par la loi 65-557 du 10 juillet 1965, les copropriétaires sont obligatoirement représentés par le syndicat de copropriété, lui-même obligatoirement représenté par son syndic.
En cas de transgression et de différend, le Tribunal de Grande Instance de Paris est compétent pour connaître de toute action en exécution forcée ou en dommages-intérêts»
- L'ASL ne reconnait pas la qualité de membres de l'ASL aux copropriétaires contestataires.
Un argument étonnant. Par exemple, l'ASL a désigné M. Larger en tant que membre du conseil de gestion pour une durée de trois ans, mais elle lui conteste ensuite sa capacité à exercer un recours au tribunal.
Ou encore l'exemple de certains procès-verbaux d'assemblées générales qui sont sporadiquement diffusés à tous les membres de l'ASL, y compris aux plaignants qui paient leurs charges et dont la qualité de membres leurs est pourtant contestée.
Ou encore l'exemple de certains procès-verbaux d'assemblées générales qui sont sporadiquement diffusés à tous les membres de l'ASL, y compris aux plaignants qui paient leurs charges et dont la qualité de membres leurs est pourtant contestée.
- L'ASL déclare que la sécurité incendie doit être gérée de façon collective en fonction de la nature de la charge.
Cette déclaration n'est malheureusement pas mise en pratique. L'ASL mélange les alarmes de fonctionnement et les alarmes de détection incendie, qui font l'objet de deux articles distincts dans les règlements (CRUH, art. 37.4.1 C) et D).
On peut regretter à ce titre, le manque de transparence du responsable unique de sécurité (RUS) pour le groupement d'établissements recevant du commerce (ERP), la société GIFFARD, qui a produit en 2015 un document fantaisiste ne permettant pas de qualifier les alarmes dans l'une ou l'autre catégorie : les alarmes surveillant le bon fonctionnement des équipements ou les alarmes de détection incendie règlementaires et obligatoires pour les commerces.
- Des couloirs de distribution relient l’ensemble des bâtiments d’habitation ou commerciaux. L'ensemble est un tout.
Les fameux couloirs sont tous équipés de sas coupe-feu. A nouveau, on peut regretter un audit peut clair. En 2019, QCS SERVICES (devenu QUARDINA) confirme bien que les bâtiments d'habitations et de commerces sont entièrements indépendants les uns des autres mais produit simultanément un schéma qui laisse entendre que la préfecture de police considèrerait le Quartier de l'Horloge comme un ensemble.
Tant la société GIFFARD que QCS SERVICES ont été invités à préciser leurs propos qui contredisent la notion du groupement de commerces et parkings, sans les habitations, tel que décrit dans les permis de construire.
Téléchargez le rapport GIFFARD de 2015.
164 téléchargements le 3 novembre 2023
Tant la société GIFFARD que QCS SERVICES ont été invités à préciser leurs propos qui contredisent la notion du groupement de commerces et parkings, sans les habitations, tel que décrit dans les permis de construire.
Téléchargez le rapport GIFFARD de 2015.
164 téléchargements le 3 novembre 2023
Le règlement de chaque copropriété SOCOPAR est sans équivoque sur le mode de répartition des charges en provenance de l'ASL. > un clic sur l'image l'agrandit.
- L'ASL déclare ne pas s’occuper des parties privatives. Les noms de INDIGO PARK, LEROY MERLIN, FLUNCH, etc., apparaissent exclusivement pour faciliter l’identification physique des locaux pour une meilleure répartition des charges sous la rubrique « SOCOPAR » qui regroupe les copropriétés de locaux commerciaux.
En réalité, le règlement de copropriété de chaque SOCOPAR décrit très clairement aux articles 46 ou 48 la répartition des charges en provenance de l'ASL. Il est donc tout à fait normal, et même nécessaire, que le nom des locataires et le nombre des équipements dont ils bénéficient apparaissent dans la comptabilité de l'ASL.
L'ensemble des charges gérées pour les équipements communs à deux membres au moins est géré par l'ASL. Il semble ainsi tout à fait anormal de dissimuler du total des dépenses ASL près de 1,5 millions de charges propres aux trois copropriétés "SOCOPAR". Ces charges ne pas soumises aux frais de gestion et de fonctionnement. Ces derniers sont alors répartis sur 2 millions seulement.
L'ensemble des charges gérées pour les équipements communs à deux membres au moins est géré par l'ASL. Il semble ainsi tout à fait anormal de dissimuler du total des dépenses ASL près de 1,5 millions de charges propres aux trois copropriétés "SOCOPAR". Ces charges ne pas soumises aux frais de gestion et de fonctionnement. Ces derniers sont alors répartis sur 2 millions seulement.
Par ailleurs, l'ASL ne connait pas la "gestion commune SOCOPAR" qui agit au nom des trois membres que sont les copropriétés SOCOPAR 2, 3A et 3B.
Par voie de conséquences, l'ensemble des décisions qui sont prises en assemblée générale de l'ASL par un membre illégitime et majoritaire sont contestées depuis 2009.
Une dizaine de procédures concernant la gestion de l’association syndicale libre du quartier de l’Horloge (ASL QH) sont en cours au Tribunal de Paris depuis 2015.
L'ASL QH est représentée par Maître Isabelle GABRIEL, Avocat au Barreau de Paris.
LOISELET DAIGREMONT et la gestion commune SOCOPAR sont représentés par Maître Hervé CASSEL, Avocat au Barreau de Paris.
Les copropriétaires sont représentés par Maître Cécile MERILLON-GOURGUES, Avocat au Barreau d’ANGERS.
Le conseil de gestion, l'organe de surveillance de l'ASL QH, est composé de professionnels et de copropriétaires bénévoles.
Un quart sont des gestionnaires professionnels: CBRE pour AEW CILOGER / LEROY MERLIN, INDIGO PARK, PRIMONIAL pour les bureaux du CENTRE POMPIDOU et le bailleur social ERIGERE / ACTION LOGEMENT.
Catherine Rambaud, avocate, Roland Pichon et Bernard Tronel, experts-comptables, représentent chacun, bénévolement, leur propre immeuble de copropriété et apportent leurs connaissances du droit et de la comptabilité.
LOISELET DAIGREMONT et la gestion commune SOCOPAR sont représentés par Maître Hervé CASSEL, Avocat au Barreau de Paris.
Les copropriétaires sont représentés par Maître Cécile MERILLON-GOURGUES, Avocat au Barreau d’ANGERS.
Le conseil de gestion, l'organe de surveillance de l'ASL QH, est composé de professionnels et de copropriétaires bénévoles.
Un quart sont des gestionnaires professionnels: CBRE pour AEW CILOGER / LEROY MERLIN, INDIGO PARK, PRIMONIAL pour les bureaux du CENTRE POMPIDOU et le bailleur social ERIGERE / ACTION LOGEMENT.
Catherine Rambaud, avocate, Roland Pichon et Bernard Tronel, experts-comptables, représentent chacun, bénévolement, leur propre immeuble de copropriété et apportent leurs connaissances du droit et de la comptabilité.
Le Blog du Quartier de l'Horloge, un média indépendant, a pour mission de diffuser et partager l'information afin de promouvoir une correcte répartition des charges de cette ASL et de favoriser les réformes nécessaires de gouvernance pour une plus grande transparence.
Téléchargez ce billet ici.
135 téléchargements le 3 novembre 2023
135 téléchargements le 3 novembre 2023
BONUS
L'ASL QH a le projet d'assigner en référé le bailleur social ERIGERE dans le cadre des travaux de rénovation énergétique au sujet de la couleur foncée des fenêtres. (Conseil de gestoin du 28 février 2024).
L'ASL QH obtient gain de cause au Tribunal de Paris, après 3 ans de procédure, dans le cadre des travaux d'aménagements du restaurant SHISO BURGER qui a transformé son local en restaurant avec une cuisine. Ce que le règlement CRUH de l'ASL ne permet pas.
L'ASL QH a le projet d'assigner en référé le bailleur social ERIGERE dans le cadre des travaux de rénovation énergétique au sujet de la couleur foncée des fenêtres. (Conseil de gestoin du 28 février 2024).
L'ASL QH obtient gain de cause au Tribunal de Paris, après 3 ans de procédure, dans le cadre des travaux d'aménagements du restaurant SHISO BURGER qui a transformé son local en restaurant avec une cuisine. Ce que le règlement CRUH de l'ASL ne permet pas.



